79个国家检测到水里有这种毒素,水生所为你解除忧患!
富营养化水体爆发蓝藻水华已成为一个世界性的问题。水华蓝藻中有些种类能释放对水生态和人类健康造成严重危害的毒素。据报道,许多国家和地区发生了因蓝藻毒素污染导致人群、家畜、鱼类患病甚至死亡的事件。
我国是产毒藻类分布最广、影响最大的国家之一,不少饮用及养殖水体,特别是水体周边人口承载量大的地区,富营养化问题有增无减。滇池、太湖、巢湖等大中型浅水湖泊以及许多水库、池塘,在夏秋季节蓝藻水华问题严重,有时每年持续7~8个月。就在上个月(2017年5月),太湖蓝藻水华又一次大规模爆发。高浓度的蓝藻细胞及其产生的毒素可能威胁到饮用水源的安全。
太湖的蓝藻水华(左图)及显微镜下观察到的微囊藻形态(右图)。(拍摄于太湖梅梁湾)
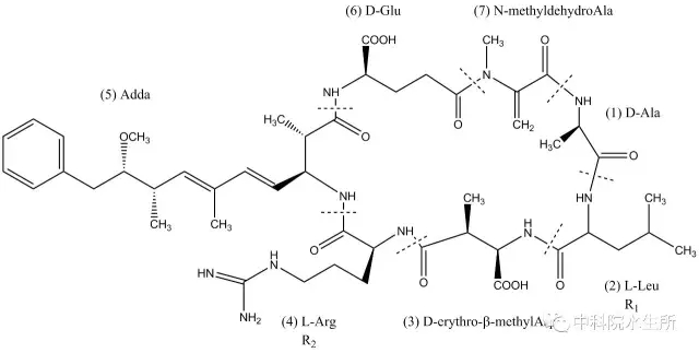
爆发水华的水体常存在微囊藻毒素,迄今已有79个国家确认检测到水华相关的微囊藻毒素。微囊藻毒素是一类由7个氨基酸残基构成的环状七肽,攻击的靶位是肝细胞,因而是一类肝毒素。
微囊藻毒素分子结构(Harada, K. 1995, Chemistryand detection of microcystins)
微囊藻毒素具有胞内毒素性质,在蓝藻细胞内合成,当细胞死亡并破裂后释放到水体中。水体中微囊藻毒素的浓度随时间和水域的变化很大,与蓝藻生物量的变化相关。一般天然水体中毒素含量比较低,浓度在0.1~10 mg/L (每升微克)范围内,但当大面积严重的蓝藻水华发生后会使水体中的毒素浓度升高,有时可高达200 mg/L。存在于饮用水、休闲用水和渔业水体中的微囊藻毒素是潜在的危险因素。世界卫生组织和多个国家或地区的相关组织对重要水体中的微囊藻毒素浓度制定了一系列的参考标准。世界卫生组织规定饮用水和休闲用水中微囊藻毒素的浓度不得高于1 μg/L,我国2012年发布的生活饮用水卫生标准中也规定微囊藻毒素含量不得高于1 μg/L。
微囊藻毒素可以使几乎所有受试动物发生中毒甚至死亡,从高等的哺乳类到低等的无脊椎动物都是如此,还可以导致动物胚胎畸变。微囊藻毒素主要通过饮水途径侵入机体,亦可在鱼类及其他水生生物体内积累下来,通过食物链危害人类健康。
左图:太湖鱼类检测发现,多数月份鱼类肌肉组织中微囊藻毒素的积累量超过WHO规定的每天每公斤肌肉组织0.04微克毒素的限定值(Ecotoxicol & Environ Safety, 2010, 73: 1804-1811)
右图:受微囊藻毒素污染小鼠肝脏发生病变(Toxicol. Appl. Pharmacol., 2011, 255, 9-17)
微囊藻毒素对蓝藻细胞自身却是具有各种功能,如可作为化感物质增强微囊藻抵御外界侵扰和损伤,促进微囊藻群体的形成及维持过程,等等。
那么,有没有快捷地检测水体和水产品中微囊藻毒素的方法呢?微囊藻毒素的检测大多是根据其物理化学性质及其生物学活性的特点发展起来的,主要包括生物毒理法,化学测定法和免疫测定法等。由中国科学院水生生物研究所开发的微囊藻毒素酶联免疫(ELISA)检测试剂盒,经大量现场检测证实,与高效液相色谱(HPLC)法有很好的拟合度,并具有便携、快速、成本较低的优势。水生所科学家还起草制定了“水体中微囊藻毒素的测定”国家标准(GB/T 20466-2006)和“水产品中微囊藻毒素的测定”食品安全国家标准(GB 5009.273-2016)。
微囊藻毒素ELISA检测试剂盒(中国科学院水生生物研究所自主研发)
除了快捷的检测方法,有没有理想的处理方法高效去除饮用水源中可能含有的微囊藻毒素呢?常规的处理主要包括混凝沉淀、活性炭吸附、消毒等,深度处理主要包括膜分离、高级氧化等。中科院水生所的科学家发明了“凝胶离子材料和改性活性炭去除水体中微囊藻毒素”新技术,克服了传统工艺在处理微囊藻毒素中耗时长、选择性差及处理过程中可能带来二次毒性产物的不利影响,是一种新型高效快速去除微囊藻毒素的可靠技术,将成为未来饮用水毒素净化的一个理想选择。
